WRRL-Messstelle 104004046 K 7.1 M SAD Münhg
Wenn wir ein Problem halbieren wollen, so setzen wir das Problematische einfach auf die Landesgrenze. So wurde es damals mit dem Bau von Atomkraftwerken gehandhabt, aber auch bei der Auswahl von Standorten für Deponien von Sonderabfällen, da die halbe Anzahl von Anwohnern auch nur die Hälfte an Kritik und Widerstand einbringt! Bisher haben wir immer von externen und außerlandwirtschaftlichen Einträgen berichtet, kritische Stoffe, die ich an dieser Messstelle nie finden möchte. Die Geburt der Messstelle SAD Münchehagen hat einen tragischen und skandalösen Grund – eine Giftmülldeponie an der Landesgrenze Niedersachsen und NRW. In dieser Region gab es den weltweit höchsten Dioxinwert in einem Wasserlauf und auch mysteriöse Todesfälle im Zusammenhang mit der Deponie (sehenswert: https://www.ardmediathek.de/video/panorama-3/streit-um-altdeponie-muss-der-giftmuell-raus/ndr/Y3JpZDovL25kci5kZS9lOGQ4NDRkZi00ZDZlLTQ3ZTQtOTI4OS0zZDRlYWQzMGY1ZTQ)
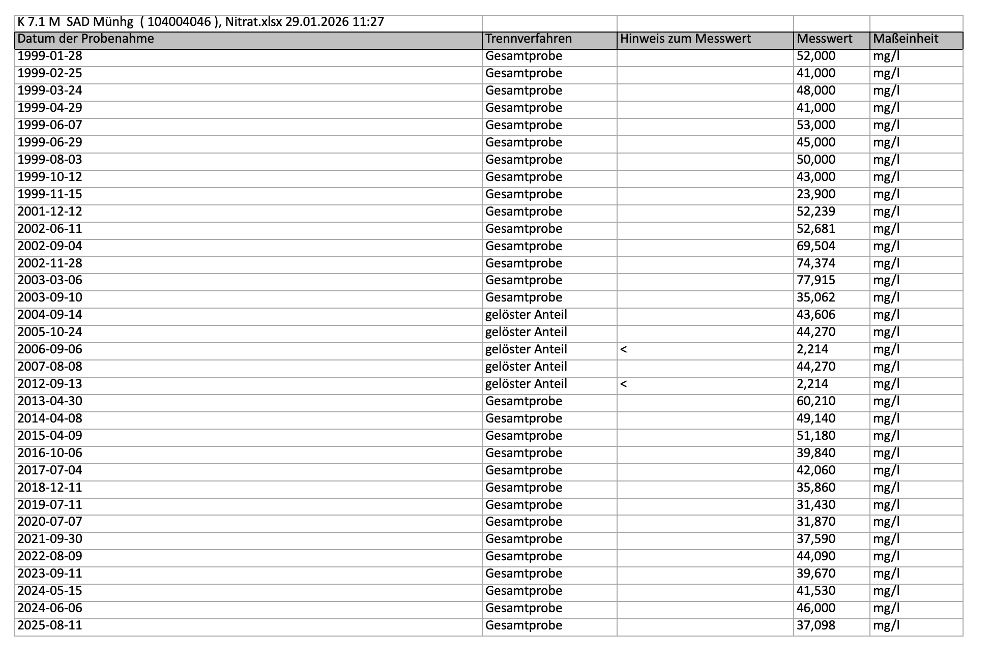
Es wird diesbezüglich von unserer Seite keine Kritik an dieser Messstelle geben, wohl aber über die Zuweisung für landwirtschaftliche Einträge in NRW. Eine Messstelle, welche unmittelbar an der Landesgrenze liegt, wobei der Zustrom des Grundwassers auf die Messstelle aus Niedersachsen kommt und eher durch die Wälder geprägt ist, kann für NRW nicht für die Landbewirtschaftung maßgeblich sein. Vergleichen wir einmal die Nitratwerte vor Ort (Link2 – hier klicken) (Link3 – hier klicken) mit den Werten im Landesgebiet (Link 4 – hier klicken) durch die Beeinflussung von Wäldern, so verstärkt sich unsere Vermutung der falschen Zuordnung für die Landnutzung. Dabei ist auch noch die Addition des Denitrifikationswertes zu beachten. Hier kann auch einmal eine Erhöhung des vorhandene Nitratwertes um weitere 30mg/l durch die Addition des Denitrifikationwertes erfolgen.
Wir fassen zusammen: Die Messstelle wird durch den unmittelbaren Zustrom des Grundwassers aus Niedersachsen geprägt und schaltet den Grundwasserkörper in NRW auf Rot. Dieses hat aber keine Auswirkung auf das Land Niedersachsen, da diese Messstelle sich im WRRL-Messnetz für NRW befindet! Die Beeinflussung der Messstelle ist demnach eher dem Wald und nicht dem Acker zuzuordnen.
Fazit: Messstellen mit falscher Zuordnung und/oder durch Beeinflussung außerhalb der Landesgrenzen gilt es zu erkennen und zu entnehmen!


